av影片直播

【成果】CO2浓度和地表温度关系领域研究取得新进展

作者: 发布时间:2020-04-09 浏览次数:

受全球变暖影响,极端性天气事件和气候灾害频发,给自然生态和人类社会的可持续发展带来了严峻挑战。人类活动排放大量CO2是引起全球变暖的主要原因。卫星观测发现大气CO2浓度分布存在非均匀动态分布,在时间上有年际和季节性的差异,在空间上也存在着显著差异。以往研究CO2浓度和地表温度的关系多局限于全球平均的CO2浓度和地表温度之间的关系,缺乏非均匀动态分布CO2浓度和地表温度的关系的认识。

2020年1月28日,av影片直播 学者的一篇探究非均匀动态分布CO2浓度和地表温度关系的文章已发表在地球科学领域知名期刊《Geophysical research letters》,揭示Rossby波在CO2浓度和地表温度关系的作用。

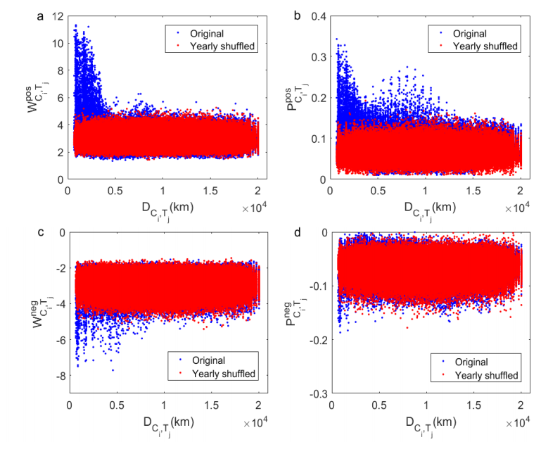
该论文作者们提出一种双层气候网络方法解析不均匀CO2浓度和地表温度之间的关系。通过构建对流层中层CO2浓度和地表温度双层复杂网络,作者们发现,正权值在大约7000 km的距离有一个增强分布,对应于Rossby波的一倍波长(图1a和1b所示)。大部分强相关连接位于近距离(小于2000 km),说明CO2浓度和当地地表温度具有很强的相关性。与这些距离相关时滞的群速度分析与Rossby波群速度一致。耦合网络中度、加权度和连边长度的概率密度函数(PDF)服从幂律分布(图2所示)。加权度空间分布模式也符合Rossby波的性质(图3所示)。此外,CO2浓度和500hpa温度的耦合网络的研究也巩固了耦合网络与罗斯比波之间的关联。

 

图1. 正负向关联和距离的函数。(a)正向连接权重,(b)正向相关系数,(c)负向连接权重,(d)负向相关系数。蓝色为原始数据,红色为随机重排数据。

 

图2. PDF分布(红色圆点表示),蓝色为拟合线。 (a)度,(b)加权度,(c)连边长度.

 

图3. 加权出入度空间分布。(a)和(b)为CO2和地表温度加权入度,(c)和(d)为CO2和地表温度加权出度.

本文提出的多层网络方法揭示Rossby波对不均匀分布的CO2浓度与地表温度之间的关系有一定的影响。作者们认为CO2浓度与地表温度关系具有显著的空间差异性,并且敏感区位于西欧、北美和中国等地区,这些敏感区域与CO2浓度快速增加以及强变暖区域重合。本论文研究结果有助于深化CO2浓度和地表温度关系的认识,对制定碳减策略和减缓气候变化有着重要意义。

av影片直播 地理科学学部博士、中国环境科学研究院营娜为第一作者,地理科学学部叶谦教授,北京航空航天大学周栋副教授, av影片直播 韩战钢教授,陈清华教授等共同参与完成。 av影片直播 的研究人员多年来一直从事复杂系统及相关课题的研究,这是近年来关注复杂网络与气候变化交叉研究所产生的研究成果。

该研究是国家重点研发计划:碳排放和碱碳社会经济代价研究(2016YFA0602503)的一部分。